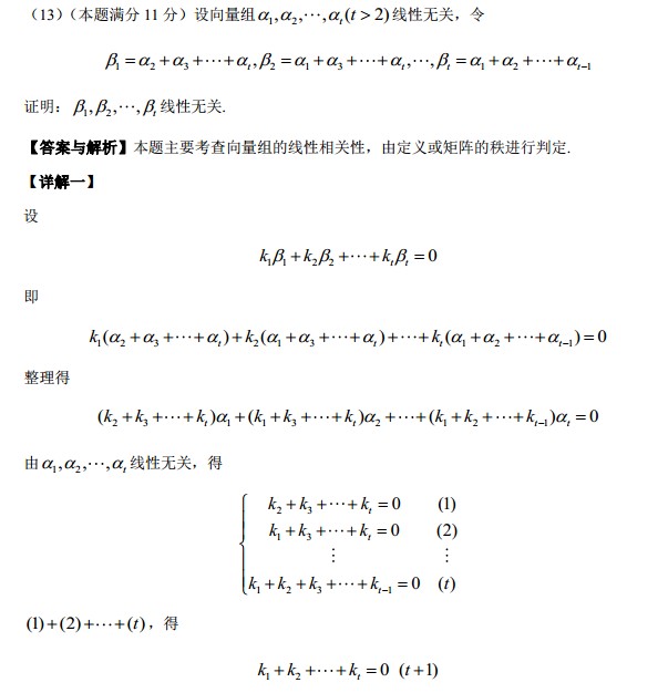
2014考研數學考前絕密預測20題:向量組的線性相關性
來源:研線網
人瀏覽
2021-07-30 15:24:37
下面是小編帶來的“2014考研數學考前絕密預測20題:向量組的線性相關性”,一起來看~



以上就是“2014考研數學考前絕密預測20題:向量組的線性相關性”全部內容,更多相關信息,請持續關注研線網!
掃碼添加獲取各院校復試名單及錄取名單
【版權與免責聲明】本站所提供的內容除非來源注明研線網,否則內容均為網絡轉載及整理,并不代表本站贊同其觀點和對其真實性負責。文章由本站編輯整理發出,僅供個人交流學習使用。如本站稿件涉及版權等問題,請聯系本站管理員予以更改或刪除。
責任編輯:superadmin